John M. Billingsley†, Jiaming Ding†, Allison T. Hands, Kanji Niwa, Nathan J. Adamson, Lukas A. Wein, Bruno Perlatti, Neil K. Garg and Yi Tang. ACS Central Science 2026, Manuscript in press
Jiaming Ding†, Sarah A. French†, Christina A. Rivera‡, Arismel Tena Meza‡, Dominick C. Witkowski‡, K. N. Houk and Neil K. Garg. Nat. Chem. 2026 DOI: 10.1038/s41557-025-02055-9
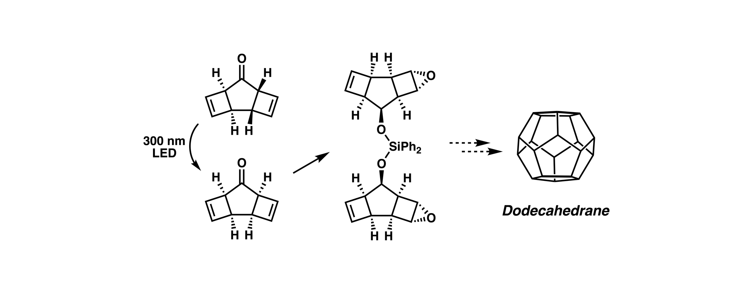
Georgia M. Scherer†, Benjamin A. Janda†, Lauren Q. Van Auken, and Neil K. Garg. J. Am. Chem. Soc. 2026, 148, 4826-4832.
Noah W. Gilbertson, Marianna C. Tonoyan and Neil K. Garg. Manuscript submitted
Aimee Long, Noah W. Gilbertson, and Neil K. Garg. Manuscript Submitted.
Lauren Q. Van Auken, Benjamin A. Janda, Georgia M. Scherer, and Neil K. Garg. In Preparation
Marianna C. Tonoyan, Aimee Long, and Neil K. Garg. Manuscript Submitted.
Abigail W. Wilson, Giulianna A. Miseo, Christina A. Rivera, and Neil K. Garg. Manuscript Submitted.
Breanna J. Sprague, Lauren Q. Van Auken, Benjamin A. Janda, and Neil K. Garg. Manuscript Submitted.
Kasey K. Chung, Christina A. Rivera, Giulianna A. Miseo, and Neil K. Garg. Manuscript Submitted.
Luca McDermott†, Zach G. Walters†, Jiaming Ding, Neil K. Garg. J. Org. Chem. 2025, 90, 15916-15920.
Gunjan Sharma, Martin Gutierrez, Anthony E. Jones, Shruti Kapoor, Amit Kumar Jaiswal, Zachary T. Neeb, Amy Rios, Poornima Dorairaj, Michelle L. Thaxton, Tasha L. Lin, Tiffany M. Tran, Lyna E. S. Kabbani, Alexander J. Ritter, Georgia M. Scherer, Jacob P. Sorrentino, Linsey Stiles, Johanna ten Hoeve, Robert D. Damoiseaux, Neil K. Garg, Ajit S. Divakaruni, Jeremy R. Sanford, Dinesh S. Rao. Cell Rep. 2025, 116330.
Luca McDermott†, Dylan Aljovic†, Zach G. Walters, Feng Peng, Ralph Zhao, Kevin R. Campos, Neil K. Garg. Org. Lett. 2025, 27, 13165-13169.
Zach G. Walters†, Dominick C. Witkowski†, K. N. Houk, Neil K. Garg. Chem. Sci, 2025, 16, 16047-16056.
Pan Pan Chen, Meng Duan, Qingyang Zhou, Fang Liu, Yi Tang, Neil K. Garg, K. N. Houk. ACS Chem. Biol. 2025, 20, 2006–2013.
Amit K. Jaiswal, Georgia M. Scherer*, Michelle L. Thaxton*, Jacob P. Sorrentino, Constance Yuen, Milauni M. Mehta, Gunjan Sharma, Tasha L. Lin, Tiffany M. Tran, Amanda Cohen, Alexander J. Ritter, Rishi S. Kotecha, Jeremy R. Sanford, Robert D. Damoiseaux, Neil K. Garg and Dinesh S. Rao. Haematologica, 2025, Early View.
Chunsheng Yan, Ikechukwu C. Okorafor, Colin W. Johnson, Kendall N. Houk, Neil K. Garg, and Yi Tang. J. Ind. Microbiol. Biotechnol. 2025, 52, kuaf013.
Dominick C. Witkowski, Daniel W. Turner, Ana S. Bulger, K. N. Houk, and Neil K. Garg. Nat. Synth. 2025, 4, 1009–1016.
Luca McDermott, Zach G. Walters†, Allison M. Clark†, Neil K. Garg. Nat. Synth. 2025, 4, 421-431.
Arismel Tena Meza, Christina A. Rivera†, Huiling Shao†, Andrew V. Kelleghan, K. N. Houk, and Neil K. Garg. Nature 2025, 640, 683–690.
Chelsea L. Shover, Morgan E. Godvin, Meghan Appley, Elise M. Pyfrom, Fernando Montero Castrillo, Karli Hochstatter, Talia Nadel, Neil K. Garg, Adam Koncsol, Joseph R. Friedman, Caitlin A. Molina, Ruby Romero, Brendan Harshberger, Jordan A. M. Gonzalez, Jordan Spoliansky, Sarah Laurel, Elham Jalayer, Juan Ruelas, John Gonzales, Soma Snakeoil, Sonya Guerra, Oscar Arellano, Candace Winstead, Margaret Rybak, Joanna Champney, Brent Waninger, Rafael Torruella, Edward Sisco. JAMA 2025, 333, 1000–1003.
Abstract PDF Supplementary Materials NEWSWEEK UCLA NEWSROOM Science | In the Pipeline NATURE C&E NEWS CHEMISTRY WORLD EARTH.COM IFL MSN YAHOO! SYNFACTS
Luca McDermott,† Zach G. Walters,† Sarah A. French,‡ Allison M. Clark,‡ Jiaming Ding,‡ Andrew V. Kelleghan, K. N. Houk, and Neil K. Garg. Science 2024, 386, eadq3519.
Allison M. Clark, Giulianna Miseo, and Neil K. Garg. Org. Synth. 2025, 102, 428-441.
Christina A. Rivera, Benjamin A. Janda, and Neil K. Garg. Org. Synth. 2026, 103, 4-18.
Benjamin A. Janda, Allison M. Clark, and Neil K. Garg. Org. Synth. 2025, 102, 625–636.
Arismel Tena Meza,† Laura G. Wonilowicz,† and Neil K. Garg. Nature Reviews Chemistry, 2024, 8, 715–716.
Yalong Zhang, Lin Wu, Tyler A. Kerr, Neil K. Garg, and Yi Tang. J. Am. Chem Soc. 2024, 146, 23933–23942.
Laura G. Wonilowicz,† Milauni M. Mehta,† Lisa L. Kamecke, Sarah A. French, and Neil K. Garg. Org. Lett. 2024, 26, 6465–6470.
Matthew S. McVeigh,† Jacob P. Sorrentino,† Allison T. Hands, and Neil K. Garg. J. Am. Chem. Soc. 2024, 146, 15420–15427.
Francesca M. Ippoliti,† Laura G. Wonilowicz,† Nathan J. Adamson, Evan R. Darzi, Joyann S. Donaldson, Daniel J. Nasrallah, Milauni M. Mehta, Andrew V. Kelleghan, K. N. Houk, and Neil K. Garg. Angew. Chem., Int. Ed. 2024, 63, e202406676.
Ana S. Bulger, Daniel W. Turner, Qingyang Zhou, K. N. Houk, Neil K. Garg. Org. Lett. 2024, 26, 3602–3606.
Amit K. Jaiswal, Michelle L. Thaxton, Georgia M. Scherer, Jacob P. Sorrentino, Neil K. Garg and Dinesh S. Rao. RNA Biology 2024, 21, 1–14.
Ana S. Bulger,† Daniel J. Nasrallah,† Arismel Tena Meza,† and Neil K. Garg. Chem. Sci. 2024, 15, 2593–2600.
Daniel W. Turner, Allison T. Hands, and Neil K. Garg. Org. Synth. 2024, 101, 327–341
Allison T. Hands, Zach G. Walters, Jacob P. Sorrentino, and Neil K. Garg. Org. Synth. 2024, 101, 164–180.
Zachary G. Walters, Daniel W. Turner, and Neil K. Garg. Org. Synth. 2024, 101, 150–163.
Andrew V. Kelleghan, Arismel Tena Meza, and Neil K. Garg. Nat. Synth. 2024, 3, 329–336.
Abstract PDF Supporting Information UCLA NEWSROOM Cannabis Health Politico Benzinga Labroots C&E News
Daniel J. Nasrallah and Neil K. Garg. ACS Chem. Biol. 2023, 18, 2023–2029.
Christina R. Forbes, Katie A. Spence, Neil K. Garg, and Evan R. Darzi. J. Org. Chem. 2023, 88, 11358–11362.
Evan R. Darzi, Dane A. Stanfield, Luca McDermott, Andrew V. Kelleghan, Benjamin J. Schwartz, and Neil K. Garg. Mater. Adv. 2023, 4, 3351–3355.
Milauni M. Mehta, Jordan A. M. Gonzalez, James L. Bachman, and Neil K. Garg. Org. Lett. 2023, 25, 5553–5557.
Katie A. Spence, Marie Hoffmann, and Neil K. Garg. Org. Lett. 2023, 25, 5044–5048.
Matthew Jenner, Yang Hai, Hong H. Nguyen, Munro Passmore, Will Skyrud, Junyong Kim, Neil K. Garg, Wenjun Zhang, Rachel R. Ogorzalek Loo, and Yi Tang. Nat. Commun. 2023, 14, 2832–2843.
Dominick C. Witkowski, Matthew S. McVeigh, Georgia M. Scherer, Sarah M. Anthony, and Neil K. Garg. J. Am. Chem. Soc. 2023, 145, 10491–10496.
Andrew V. Kelleghan,† Ana S. Bulger,† Dominick C. Witkowski, and Neil K. Garg. Nature 2023, 618, 748–754.
Abstract PDF Supporting Information Science Cover Science Perspective UCLA NEWSROOM C&E News SYNFACTS Synform Organic Chemistry Portal
Francesca M. Ippoliti,† Nathan J. Adamson,† Laura G. Wonilowicz, Daniel J. Nasrallah, Evan R. Darzi, Joyann S. Donaldson, and Neil K. Garg. Science 2023, 379, 261–265.
Georgia M. Scherer, Jordan Gonzalez, Laura G. Wonilowicz, and Neil K. Garg. Org. Synth. 2023, 100, 304–326.
Di Huang, Christina R. Forbes, Neil K. Garg, and Evan R. Darzi. Org. Lett. 2022, 24, 6705–6710.
Jason V. Chari,† Luca McDermott,† Jacob E. Dander, Bryan J. Simmons, and Neil K. Garg. Tetrahedron 2022, 126, 133041–133046. (Special issue in honor of Professor John Wood)
Jennifer M. Heemstra and Neil K. Garg. Nature Reviews Chemistry 2022, 6, 757–758.
Neil K. Garg and Kevin D. Dougherty. Inside Higher Ed 2022, published online May 25, 2022.
Katie A. Spence,† Arismel Tena Meza,† and Neil K. Garg. Chem Catalysis 2022, 2, 1870–1879.
Francesca M. Ippoliti, Melinda M. Nguyen, Amber J. Reilly, and Neil K. Garg. Nature Reviews Chemistry 2022, 6, 373–374.
Katie A. Spence,† Jason V. Chari,† Mattia Di Niro, Robert B. Susick, Narcisse Ukwitegetse, Peter I. Djurovich, Mark E. Thompson, and Neil K. Garg. Chem. Sci. 2022, 13, 5884–5892.
Francesca M. Ippoliti,† Jason V. Chari,† and Neil K. Garg. Chem. Sci. 2022, 13, 5790–5796.
Jason V. Chari,† Rachel R. Knapp,† Timothy B. Boit, and Neil K. Garg. J. Chem. Educ. 2022, 99, 1296–1303.
Matthew S. McVeigh and Neil K. Garg. Tetrahedron Lett. 2021, 87, 153539–153543
Luca McDermott, Dominick C. Witkowski, and Neil K. Garg. Org. Synth. 2022, 99, 53–67.
Dominick C. Witkowski, Luca McDermott, and Neil K. Garg. Org. Synth. 2022, 99, 159–173.
Ana S. Bulger, Dominick C. Witkowski, and Neil K. Garg. Org. Synth. 2022, 99, 305–325.
Undramaa Bat-Erdene, John M. Billingsley, William C. Turner, Benjamin R. Lichman, Francesca M. Ippoliti, Neil K. Garg, Sarah E. O’Connor, and Yi Tang. ACS Catal. 2021, 11, 9898–9903.
Melissa Ramirez, † Evan Darzi, † Joyann Donaldson, Kendall N. Houk, Neil K. Garg. Angew. Chem., Int. Ed. 2021, 60, 18201–18208.
Sarah M. Anthony, Laura G. Wonilowicz,† Matthew S. McVeigh,† and Neil K. Garg* JACS Au 2021, 1, 897–912.
Andrew V. Kelleghan, Dominick C. Witkowski, Matthew S. McVeigh, Neil K. Garg. J. Am. Chem. Soc. 2021, 143, 25, 9338–9342.
Jason V. Chari,† Katie A. Spence,† Robert B. Susick, and Neil K. Garg. Nat. Commun. 2021, 12, 3706.
Sarah M. Anthony,† Veronica Tona,† Yike Zou,† Lucas A. Morrill, John M. Billingsley, Megan Lim, Yi Tang,* K. N. Houk,* Neil K. Garg* J. Am. Chem. Soc. 2021, 143, 10, 7471–7479.
Melissa Ramirez, Dennis Svatunek, Fang Liu, Neil K. Garg, and K. N. Houk. Angew. Chem., Int. Ed. 2021, 60, 14989–14997.
Milauni M. Mehta, Andrew V. Kelleghan, and Neil K. Garg. Org. Synth. 2021, 98, 68-83
Jordan J. Dotson, Ieva Liepuoniute, J. Logan Bachman, Vince M. Hipwell, Saeed I. Khan, K. N. Houk*, Neil K. Garg*, and Miguel A. Garcia-Garibay.* J. Am. Chem. Soc. 2021, 143, 10, 4043–4054.
Rachel R. Knapp,† Veronica Tona,† Taku Okada, Richmond Sarpong, and Neil K. Garg. Org. Lett. 2020, 22, 8430–8435.
Timothy Boit,† Milauni M. Mehta,† Junyong Kim, Emma L. Baker, and Neil K. Garg. Angew. Chem., Int. Ed. 2021, 60, 2472–2477
Timothy Boit,† Ana, S. Bulger,† Jacob E. Dander,† and Neil K. Garg. ACS Catalysis 2020, 10, 12109–12126.
Masao Ohashi, Cooper S. Jamieson, Yujuan Cai, Dan Tan, Daiki Kanayama, Man-Cheng Tang, Sarah M. Anthony, Jason V. Chari, Joyann S. Barber, Elias Picazo, Thomas B. Kakule, Shugeng Cao, Neil K. Garg, Jiahai Zhou, K. N. Houk, and Yi Tang. Nature 2020, 586, 64–69.
Michael M. Yamano,† Andrew V. Kelleghan,† Qianzhen Shao,† Maude Giroud, Bryan J. Simmons, Bo Li, Shuming Chen, K. N. Houk, and Neil K. Garg. Nature 2020, 586, 242–247.
Kaylie Garg,† Elaina Garg,† and Neil K. Garg.
Jen Heemstra and Neil Garg. Chemical & Engineering News 2020, 98, (https://cen.acs.org/careers/employment/Putting-mentoring-first/98/i35).
Melissa A. Hardy, Brandon A. Wright, J. Logan Bachman, Timothy B. Boit, Hannah M. S. Haley, Rachel R. Knapp, Robert F. Lusi, Taku Okada, Veronica Tona, Neil K. Garg*, and Richmond Sarpong.* ACS Cent. Sci. 2020, 6, 1017–1030.
Jordan J. Dotson, J. Logan Bachman, Miguel A. Garcia-Garibay, Neil K. Garg. J. Am. Chem. Soc. 2020, 142, 11685–11690.
Matthew S. McVeigh, Andrew V. Kelleghan, Michael M. Yamano, Rachel R. Knapp, and Neil K. Garg. Org. Lett. 2020, 22, 4500–4504.
Jordan J. Dotson, Neil K. Garg, and Miguel A. Garcia Garibay. Tetrahedron 2020, 76, 131181.
Tina Bilousova, Bryan J. Simmons, Rachel R. Knapp, Chris J. Elias, Jesus Campagna, Mikhail Melnik, Sujyoti Chandra, Samantha Focht, Chunni Zhu, Kanagasabai Vadivel, Barbara Jagodzinska, Whitaker Cohn, Patricia Spilman, Karen H. Gylys, Neil K. Garg, and Varghese John. ACS Chem. Biol. 2020, 15, 1671–1684.
Abstract PDF Supporting Information Phys.org EurekAlert! (AAAS) ScienceDaily Chemicals Market News Psych Congress Network/Addiction Professional Medical Dialogues News-Medical.net L.A. Cannabis News ScienceBlog Technology Networks Lab Manager ABC Science Show UCLA Newsroom
Evan R. Darzi and Neil K. Garg. Org. Lett. 2020, 22, 3951–3955
Abstract PDF Supporting Information Chemistry Views OPR&D Highlights Organic Chemistry Portal Organic Chemistry Portal – Functional Group Protection
Rachel R. Knapp, Ana S. Bulger, and Neil K. Garg. Org. Lett. 2020, 22, 2833–2837.
Andrew V. Kelleghan, Carl A. Busacca, Max Sarvestani, Ivan Volchkov, Jose M. Medina, Neil K. Garg. Org. Lett. 2020, 22, 1665–1669.
Sarah M. Anthony, Andrew V. Kelleghan, Milauni M. Mehta, and Neil K. Garg. Nature Catal. 2019, 2, 1058–1059.
Timothy B. Boit, Katie A. Spence, and Neil K. Garg. Nature Catal. 2020, 3, 2–3.
Milauni M. Mehta,† Timothy B. Boit,† Jacob E. Dander,† and Neil K. Garg. Org. Lett. 2020, 22, 1–5.
Lucas A. Morrill†, Robert B. Susick†, Jason V. Chari, and Neil K. Garg. J. Am. Chem. Soc. 2019, 141, 12423–12443.
Neil K. Garg. J. Biol. Chem. 2019, 294, 17678–17683.
Katie A. Spence, Milauni M. Mehta, and Neil K. Garg. Org. Synth. 2022, 99, 174–189.
Andrew V. Kelleghan, Katie A. Spence, and Neil K. Garg. Org. Synth. 2020, 97, 189–206.
Timothy B. Boit, Milauni M. Mehta and Neil K. Garg. Org. Lett. 2019, 21, 6447–6451
Jacob E. Dander, Maude Giroud, Sophie Racine, Evan R. Darzi, Oscar Alvizo, David Entwistle, and Neil K. Garg. Communications Chemistry 2019, 2, 82.
Evan R. Darzi, Joyann S. Barber, and Neil K. Garg. Angew. Chem., Int. Ed. 2019, 58, 9419–9424.
Man-Cheng Tang, Curt R. Fischer, Jason V. Chari, Dan Tan, Sundari Suresh, Angela Chu, Molly Miranda, Justin Smith, Zhuan Zhang, Neil K. Garg, Robert P. St. Onge, and Yi Tang. J. Am. Chem. Soc. 2019, 141, 8198–8206.
Michael M. Yamano, Rachel R. Knapp, Aurapat Ngamnithiporn, Melissa Ramirez, Kendall N. Houk,* Brian M. Stoltz,* and Neil K. Garg. Angew. Chem., Int. Ed. 2019, 58, 5653–5657.
Jason Chari,† Francesca Ippoliti,† and Neil K. Garg. J. Org. Chem. 2019, 84, 3652–3655.
Jacob E. Dander, Lucas A. Morrill, Melinda M. Nguyen, Shuming Chen, and Neil K. Garg. J. Chem. Ed. 2019, 96, 776–780.
Bryan J. Simmons, Melissa Ramirez, and Neil K. Garg. Org. Synth. 2019, 96, 436–454.
Francesca M. Ippoliti, Joyann S. Barber, and Neil K. Garg. Org. Synth. 2019, 96, 586–598.
Alexander Tuan-Huy Duong, Bryan J. Simmons, Mohammad Parvez Alam, Jesus Campagna, Neil K. Garg, Varghese John. Tetrahedron Lett. 2019, 60, 322–326.
Sara E. Kearney, Gergely Zahoránszky-Kőhalmi, Kyle R. Brimacombe, Mark J. Henderson, Caitlin Lynch, Tongan Zhao, Kanny K. Wan, Zina Itkin, Christopher Dillon, Min Shen, Dorian M. Cheff, Tobie D. Lee, Danielle Bougie, Ken Cheng, Nathan P. Coussens, Dorjbal Dorjsuren, Richard T. Eastman, Ruili Huang, Michael J. Iannotti, Surendra Karavadhi, Carleen Klumpp-Thomas, Jacob S. Roth, Srilatha Sakamuru, Wei Sun, Steven A. Titus, Adam Yasgar, Ya-Qin Zhang, Jinghua Zhao, Rodrigo B. Andrade, M. Kevin Brown, Noah Z. Burns, Jin K. Cha, Emily E. Mevers, Jon Clardy, Jason A. Clement, Peter A. Crooks, Gregory D. Cuny, Jake Ganor, Jesus Moreno, Lucas A. Morrill, Elias Picazo, Robert B. Susick, Neil K. Garg, Brian C. Goess, Robert B. Grossman, Chambers C. Hughes, Jeffrey N. Johnston, Madeleine M. Joullié, A. Douglas Kinghorn, David G.I. Kingston, Michael J. Krische, Ohyun Kwon, Thomas J. Maimone, Susruta Majumdar, Katherine N. Maloney, Enas Mohamed, Brian T. Murphy, Pavel Nagorny, David E. Olson, Larry E. Overman, Lauren E. Brown, John K. Snyder, John A. Porco, Jr., Fatima Rivas, Samir A. Ross, Richmond Sarpong, Indrajeet Sharma, Jared T. Shaw, Zhengren Xu, Ben Shen, Wei Shi, Corey Stephenson, Alyssa L. Verano, Derek S. Tan, Yi Tang, Richard E. Taylor, Regan J. Thomson, David A. Vosburg, Jimmy Wu, William M. Wuest, Armen Zakarian, Yufeng Zhang, Tianjing Ren, Zhong Zuo, James Inglese, Sam Michael, Anton Simeonov, Wei Zheng, Paul Shinn, Ajit Jadhav, Matthew B. Boxer, Matthew D. Hall, Menghang Xia, Rajarshi Guha, and Jason M. Rohde. ACS Central Science 2018, 4, 1727–1741.
Nitinchandra Dahyabhai Patel, Joshua D. Sieber, Sergei Tcyrulnikov, Bryan J. Simmons, Daniel Rivalti, Krishnaja Duvvuri, Yongda Zhang, Donghong A. Gao, Keith R. Fandrick, Nizar Haddad, Kendricks So Lao, Hari Prasad Reddy Mangunuru, Soumik Biswas, Bo Qu, Nelu Grinberg, Scott Pennino, Heewon Lee, Jinhua J. Song, B. Frank Gupton, Neil K. Garg, Marisa C. Kozlowski, and Chris H. Senanayake. ACS Catal. 2018, 8, 10190–10209.
Neil K. Garg. Angew. Chem. Int. Ed. 2018, 57, 15612–15613.
Joyann S. Barber,† Michael M. Yamano,† Melissa Ramirez, Evan R. Darzi, Rachel R. Knapp, Fang Liu, K. N. Houk, and Neil K. Garg. Nat. Chem. 2018, 10, 953–960.
Francesca M. Ippoliti,† Joyann S. Barber,† Yi Tang, and Neil K. Garg. J. Org. Chem. 2018, 83, 11323–11326.
Johnny Dang, Brian Lin, Julia Yuan, Schawn T. Schwartz, Rishabh M. Shah, and Neil K. Garg. Nature Reviews Chemistry 2018, 2, 95-96.
Elias Picazo,† Sarah M. Anthony,† Maude Giroud, Adam Simon, Margeaux A. Miller, K. N. Houk, and Neil K. Garg. J. Am. Chem. Soc. 2018, 140, 7605–7610.
Elias Picazo,† Lucas A. Morrill,† Robert B. Susick, Jesus Moreno, Joel M. Smith, and Neil K. Garg. J. Am. Chem. Soc. 2018, 140, 6483–6492.
Joyann S. Barber,† Francesca M. Ippoliti,† and Neil K. Garg. Nature Catal. 2018, 1, 97–98.
Timothy B. Boit,† Nicholas A. Weires,† Junyong Kim,† and Neil K. Garg. ACS Catal. 2018, 8, 1003–1008.
Jacob E. Dander,† Emma L. Baker,† and Neil K. Garg. Chem. Sci. 2017, 8, 6433–6438.
Bryan J. Simmons, Marie Hoffmann, Pier Alexandre Champagne, Elias Picazo, Katsuya Yamakawa, Lucas A. Morrill, K. N. Houk, and Neil K. Garg. J. Am. Chem. Soc. 2017, 139, 14833–14836.
John M. Billingsley, Anthony B. DeNicola, Joyann S. Barber, Man-Cheng Tang, Joe Horecka, Angela Chu, Neil K. Garg, and Yi Tang. Metab. Eng. 2017, 44, 117–125.
Lucas A. Morrill, Jacquelin K. Kammeyer, and Neil. K. Garg. J. Chem. Educ. 2017, 94, 1584–1586.
Janice B. Lin, Tejas K. Shah, Adam E. Goetz, Neil K. Garg, and K. N. Houk. J. Am. Chem. Soc. 2017, 139, 10447–10455.
Michael A. Corsello,† Junyong Kim,† and Neil K. Garg. Chem. Sci. 2017, 8, 5836–5844.
Michael A. Corsello,† Junyong Kim,† and Neil K. Garg. Nat. Chem. 2017, 9, 944–949.
Jean-Nicolas Desrosiers, Jialin Wen, Sergei Tcyrulnikov, Soumik Biswas, Bo Qu, Liana Hie, Dmitry Kurouski, Ling Wu, Nelu Grinberg, Nizar Haddad, Carl A. Busacca, Nathan K. Yee, Jinhua J. Song, Neil K. Garg, Xumu Zhang, Marisa C. Kozlowski, and Chris H. Senanayake. Org. Lett. 2017, 19, 3338–3341.
Nicholas A. Weires, Daniel D. Caspi, and Neil K. Garg. ACS Catal. 2017, 7, 4381–4385.
Michio Sato, Jacob E. Dander, Chizuru Sato, Yiu-sun Hung, Shu-Shan Gao, Man-Cheng Tang, Leibniz Hang, Jaclyn M. Winter, Neil K. Garg, Kenji Watanabe, and Yi Tang. J. Am. Chem. Soc. 2017, 139, 5317–5320.
Bryan J. Simmons, Marie Hoffmann, Jaeyeon Hwang, Moritz K. Jackl, and Neil K. Garg. Org. Lett. 2017, 19, 1910–1913.
Shu-Shan Gao, Marc Garcia-Borràs, Joyann S. Barber, Yang Hai, Abing Duan, Neil K. Garg, K. N. Houk, and Yi Tang. J. Am. Chem. Soc. 2017, 139, 3639–3642.
Tejas K. Shah, and Neil K. Garg. Nat. Rev. Chem. 2017, 1, 1–3.
Jacob E. Dander and Neil K. Garg. ACS Catal. 2017, 7, 1413–1423.
Jose M. Medina, Jeong Hoon Ko, Heather D. Maynard, and Neil K. Garg. Macromolecules 2017, 50, 580–586.
Robert B. Susick,† Lucas A. Morrill,† Elias Picazo,† and Neil K. Garg. Synlett 2017, 28, 1–11.
Liana Hie,† Emma L. Baker,† Sarah M. Anthony, Jean-Nicolas Desrosiers, Chris Senanayake, and Neil K. Garg. Angew. Chem. Int. Ed. 2016, 55, 15129–15132.
Jose M. Medina,† Jesus Moreno,† Sophie Racine, Shuaijing Du, and Neil K. Garg. Angew. Chem., Int. Ed. 2017, 56, 6567–6571.
Liana Hie and Neil K. Garg. Org. Synth. 2016, 93, 306–318.
Noah F. Fine Nathel,† Lucas A. Morrill,† Herbert Mayr, and Neil K. Garg. J. Am. Chem. Soc. 2016, 138, 10402–10405
Jean-Nicolas Desrosiers, Liana Hie, Soumik Biswas, Olga V. Zatolochnaya, Sonia Rodriguez, Heewon Lee, Nelu Grinberg, Nizar Haddad, Nathan K. Yee, Neil K. Garg, and Chris H. Senanayake. Angew. Chem. Int. Ed. 2016, 55, 11921–11924
Jacob E. Dander,† Nicholas A. Weires,† and Neil K. Garg. Org. Lett. 2016, 18, 3934–3936
Emma L. Baker, Michael M. Yamano, Yujing Zhou, Sarah M. Anthony, and Neil K. Garg. Nat. Commun. 2016, 7, 1–5
Bryan J. Simmons,† Nicholas A. Weires,† Jacob E. Dander, and Neil K. Garg. ACS Catal. 2016, 6, 3176–3179
Tejas K. Shah,† Jose M. Medina,† and Neil K. Garg. J. Am. Chem. Soc. 2016, 138, 4948–4954
Hsiao-Ching Lin, Travis C. McMahon, Ashay Patel, Michael Corsello, Adam Simon, Wei Xu, Muxun Zhao, K. N. Houk, Neil K. Garg, and Yi Tang. J. Am. Chem. Soc. 2016, 138, 4002–4005
Jose M. Medina, Moritz K. Jackl, Robert B. Susick, and Neil K. Garg. Tetrahedron 2016, 72, 3629–3634
Joyann S. Barber, Evan D. Styduhar, Hung V. Pham, Travis C. McMahon, K. N. Houk, and Neil K. Garg. J. Am. Chem. Soc. 2016, 138, 2512–2515
Jesus Moreno,† Elias Picazo,† Lucas A. Morrill, Joel M. Smith, and Neil K. Garg. J. Am. Chem. Soc. 2016, 138, 1162–1165
Liana Hie, Noah F. Fine Nathel, Xin Hong, Yun-Fang Yang, K. N. Houk, and Neil K. Garg. Angew. Chem. Int. Ed. 2016, 55, 2810–2814
Nicholas A. Weires, Emma L. Baker and Neil K. Garg. Nat. Chem. 2016, 8, 75–79
Man-Cheng Tang, Hsiao-Ching Lin, Dehai Li, Yi Zou, Jian Li, Wei Xu, Ralph A. Cacho, Maureen E. Hillenmeyer, Neil K. Garg, and Yi Tang. J. Am. Chem. Soc. 2015, 137, 13724–13727
Abstract PDF Supporting Information C&E News Nat. Chem. Highlight Angew. Chem. Int. Ed. Highlight Synform C&E News Top Research of 2015 Org. Chem. Highlights
Liana Hie, Noah F. Fine Nathel, Tejas K. Shah, Emma L. Baker, Xin Hong, Yun-Fang Yang, Peng Liu, K. N. Houk, and Neil K. Garg. Nature 2015, 524, 79–83
Joel M. Smith, Jesus Moreno, Ben W Boal, and Neil K. Garg. J. Org. Chem. 2015, 80, 8954–8967. (Featured Article)
Travis C. McMahon,† Jose M. Medina,† Yun-Fang Yang, Bryan J. Simmons, K. N. Houk, and Neil K. Garg.
J. Am. Chem. Soc. 2015, 137, 4082–4085
Hsiao-Ching Lin, Grace Chiou, Yit-Heng Chooi, Travis C. McMahon, Wei Xu, Neil K. Garg, and Yi Tang.
Angew. Chem. Int. Ed. 2015, 54, 3004–3007. (Selected as a Very Important Paper)
Elias Picazo, K. N. Houk, and Neil K. Garg. Tetrahedron Lett. 2015, 56, 3511–3514. (Special issue for Professor Harry Wasserman)
Michael A. Corsello, and Neil K. Garg. Nat. Prod. Rep. 2015, 32, 359–366
Adam E. Goetz, Tejas K. Shah and Neil K. Garg. Chem. Commun. 2015, 51, 34–45. (Featured Article)
Jose M. Medina,† Joel L. Mackey,† Neil K. Garg, and K. N. Houk. J. Am. Chem. Soc. 2014, 136, 15798–15805
Nicholas A. Weires,† Evan D. Styduhar,† Emma L. Baker, and Neil K. Garg. J. Am. Chem. Soc. 2014, 136, 14710–14713
Jose M. Medina,† Travis C. McMahon,† Gonzalo Jiménez-Osés, K. N. Houk, and Neil K. Garg. J. Am. Chem. Soc. 2014, 136, 14706–14709
Joel M. Smith,† Jesus Moreno,† Ben W. Boal, and Neil K. Garg. Angew. Chem. Int. Ed. 2015, 54, 400–412
Noah F. Fine Nathel, Junyong Kim, Liana Hie, Xingyu Jiang, and Neil K. Garg. ACS Catal. 2014, 4, 3289–3293
Liana Hie, Jonah J. Chang, and Neil K. Garg. J. Chem. Educ. 2015, 92, 571–574
Joel M. Smith, Jesus Moreno, Ben W. Boal, and Neil K. Garg. J. Am. Chem. Soc. 2014, 136, 4504–4507
Adam E. Goetz,† Amanda L. Silberstein,† Michael A. Corsello, and Neil K. Garg. J. Am. Chem. Soc. 2014, 136, 3036–3039
Noah F. Fine Nathel,† Tejas K. Shah,† Sarah M. Bronner, and Neil. K. Garg. Chem. Sci. 2014, 5, 2184–2190
Adam E. Goetz and Neil K. Garg. J. Org. Chem. 2014, 79, 846–851
Stephen D. Ramgren and Neil K. Garg. Org. Lett. 2014, 16, 824–827
Evan D. Styduhar, Alexander D. Huters, Nicholas A. Weires, and Neil K. Garg. Angew. Chem. Int. Ed. 2013, 52, 12422–12425
Stephen D. Ramgren, Liana Hie, Yuxuan Ye, and Neil K. Garg. Org. Lett. 2013, 15, 3950–3953
Jaclyn M. Winter, Grace Chiou, Ian R. Bothwell,, Wei Xu, Neil K. Garg, Minkui Luo, and Yi Tang. Org. Lett. 2013, 15, 3774–3777
Wei Jiang, Ralph A. Cacho, Grace Chiou, Neil K. Garg, Yi Tang, and Christopher T. Walsh. J. Am. Chem. Soc. 2013, 135, 4457–4466
Tehetena Mesganaw, G.-Yoon J. Im, and Neil K. Garg. J. Org. Chem. 2013, 78, 3391–3393
Adam E. Goetz and Neil K. Garg. Nat. Chem. 2013, 5, 54–60
Tehetena Mesganaw and Neil K. Garg. Org. Process Res. Dev. 2013, 17, 29–39
Jaclyn M. Winter, Michio Sato, Satoru Sugimoto, Grace Chiou, Neil K. Garg, Yi Tang, and Kenji Watanabe.
J. Am. Chem. Soc. 2012, 134, 17900–17903
Alex W. Schammel, Grace Chiou, and Neil K. Garg. Org. Lett. 2012, 14, 4556–4559
Sarah M. Bronner, Joel L. Mackey, K. N. Houk, and Neil K. Garg. J. Am. Chem. Soc. 2012, 134, 13966–13969
Liana Hie, Stephen D. Ramgren, Tehetena Mesganaw, and Neil K. Garg. Org. Lett. 2012, 14, 4182–4185
Amanda L. Silberstein, Stephen D. Ramgren, and Neil K. Garg. Org. Lett. 2012, 14, 3796–3799
Tehetena Mesganaw, Noah F. Fine Nathel, and Neil K. Garg. Org. Lett. 2012, 14, 2918–2921
Alexander D. Huters, Evan D. Styduhar, and Neil K. Garg. Angew. Chem. Int. Ed. 2012, 51, 3758–3765
Adam E. Goetz, Sarah M. Bronner, Jordan D. Cisneros, Joshua M. Melamed, Robert S. Paton, K. N. Houk, and Neil K. Garg. Angew. Chem. Int. Ed. 2012, 51, 2758–2762
Kyle W. Quasdorf, Alexander D. Huters, Michael W. Lodewyk, Dean J. Tantillo, and Neil K. Garg. J. Am. Chem. Soc. 2012, 134, 1396–1399
Alex W. Schammel, Grace Chiou, Neil K. Garg. J. Org. Chem. 2012, 77, 725–728
Abstract PDF Supporting Information C&E News Highlight Synfacts Highlight Nature Chemistry Organic Chemistry Portal
Alexander D. Huters, Kyle W. Quasdorf, Evan D. Styduhar, and Neil K. Garg. J. Am. Chem. Soc. 2011, 133, 15797–15799
Sarah M. Bronner, Adam E. Goetz, and Neil K. Garg. Synlett 2011, 18, 2599–2604. (invited SYNPACTS article)
Tehetena Mesganaw, Amanda L. Silberstein, Stephen D. Ramgren, Noah F. Fine Nathel, Xin Hong, Peng Liu, and Neil K. Garg. Chem. Sci. 2011, 2, 1766–1771
Liansuo Zu, Ben W. Boal, and Neil K. Garg. J. Am. Chem. Soc. 2011, 133, 8877–8879
Kyle W. Quasdorf, Aurora Antoft-Finch, Peng Liu, Amanda L. Silberstein, Anna Komaromi, Tom Blackburn, Stephen D. Ramgren, K. N. Houk, Victor Snieckus, and Neil K. Garg. J. Am. Chem. Soc. 2011, 133, 6352–6363
Nihan Çelebi-Olcüm, Ben W. Boal, Alexander D. Huters, Neil K. Garg, and K. N. Houk. J. Am. Chem. Soc. 2011, 133, 5752–5755
Sarah M. Bronner, Adam E. Goetz, and Neil K. Garg. J. Am. Chem. Soc. 2011, 133, 3832–3835
Kangjian Qiao, Hui Zhou, Wei Xu, Wenjun Zhang, Neil K. Garg, and Yi Tang. Org. Lett. 2011, 13, 1758–1761
Stephen D. Ramgren, Amanda L. Silberstein, Yang Yang, and Neil K. Garg. Angew. Chem. Int. Ed. 2011, 50, 2171–2173
Brad M. Rosen, Kyle W. Quasdorf, Daniella A. Wilson, Na Zhang, Ana-Maria Resmerita, Neil K. Garg, and Virgil Percec. Chem. Rev. 2011, 111, 1346–1416 (invited contribution)
Sarah M. Bronner, G-Yoon J. Im, and Neil K. Garg; K. C. Majumdar and S. K. Chattopadhyay, Eds.; Wiley–VCH, 2011
G-Yoon J. Im, Sarah M. Bronner, Adam E. Goetz, Robert S. Paton, Paul H.-Y. Cheong, K. N. Houk, and Neil K. Garg. J. Am. Chem. Soc. 2010, 132, 17933–17944
Kyle W. Quasdorf and Neil K. Garg. Encyclopedia of Reagents for Organic Synthesis, 2010 (invited contribution)
Alexander D. Huters and Neil K. Garg. Chem. Eur. J. 2010, 16, 8586–8595
Alex W. Schammel, Ben W. Boal, Liansuo Zu, Tehetena Mesganaw, and Neil K. Garg. Tetrahedron 2010, 66, 4687–4695. (Special issue for Professor Brian Stoltz’s receipt of the Tetrahedron Young Investigator Award)
Paul H.-Y. Cheong, Robert S. Paton, Sarah M. Bronner, G-Yoon J. Im, Neil K. Garg, and K. N. Houk. J. Am. Chem. Soc. 2010, 132, 1267–1269.
Kyle W. Quasdorf, Michelle Riener, Krastina V. Petrova, and Neil K. Garg. J. Am. Chem. Soc. 2009, 131, 17748–17749
Sarah M. Bronner and Neil K. Garg. J. Org. Chem. 2009, 74, 8842–8843
Ben W. Boal, Alex W. Schammel, and Neil K. Garg. Org. Lett. 2009, 11, 3458–3461
Xia Tian, Alexander D. Huters, Colin J. Douglas, and Neil K. Garg. Org. Lett. 2009, 11, 2349–2351
Sarah M. Bronner, Kevin B. Bahnck, and Neil K. Garg. Org. Lett. 2009, 11, 1007–1010
Kyle W. Quasdorf, Xia Tian, and Neil K. Garg. J. Am. Chem. Soc. 2008, 130, 14422–14423
Michael H. Becker, Peter Chua, Robert Downham, Christopher J. Douglas, Neil K. Garg, Sheldon Hiebert, Stefan Jaroch, Richard T. Matsuoka, Joy A. Middleton, Fay W. Ng, and Larry E. Overman. J. Am. Chem. Soc. 2007, 129, 11987–12002.
Neil K. Garg, Sheldon Hiebert, and Larry E. Overman. Angew. Chem. Int. Ed. 2006, 45, 2912–2915.
Neil K. Garg, Daniel D. Caspi, and Brian M. Stoltz. Synlett (Special Issue) 2006, 3081–3087.
Christopher J. Lacenere, Neil K. Garg, Brian M. Stoltz, and Stephen R. Quake. Nucleosides, Nucleotides & Nucleic Acids 2006, 25, 9–15.
Neil K. Garg and Brian M. Stoltz. Chem. Commun. (Feature Article) 2006, 3769–3779.
Neil K. Garg, Carolyn C. Woodroofe, Christopher J. Lacenere, Stephen R. Quake, and Brian M. Stoltz. Chem. Commun. 2005, 4551–4553.
Daniel D. Caspi, Neil K. Garg, and Brian M. Stoltz. Org. Lett. 2005, 7, 2513–2516.
Neil K. Garg, Daniel D. Caspi, and Brian M. Stoltz. J. Am. Chem. Soc. 2005, 127, 5970–5978.
Neil K. Garg and Brian M. Stoltz. Tetrahedron Lett. 2005, 46, 2423–2426.
Neil K. Garg and Brian M. Stoltz. Tetrahedron Lett. 2005, 46, 1997–2000.
Neil K. Garg, Daniel D. Caspi, and Brian M. Stoltz. J. Am. Chem. Soc. 2004, 126, 9552–9553.


